Power Reduction Formula
|
Squares |
Cubes |
||
|
|
|
||
|
|
|
||
|
|
|
||
|
Fourths |
Fifths |
||
|
|
|
||
|
|
|
||
|
|
|
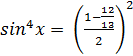
Example: Find

Step 1: write sin4 x as a squared term
sin4 x = (sin2x)2
Step 2: use the squared power reduction rule for sine

Step 3: substitute using


Step 4: Simplify

Although the formula for the fourth power could have been used, it is much simpler to write the fourth power in terms of a squared power so that a double angle or half angle formula does not have to be used as well. Power-reducing formulas become very handy in calculus by allowing you to get rid of exponents in trigonometric functions in order to solve for an angle's measure.
|
Related Links: Math Trigonometry Product to Sum and Sum to Product Formulas Double Angle Identities |
To link to this Power Reduction Formula page, copy the following code to your site:
